India Conducts Maiden Flight-Test of Indigenous Air Defence System
In a major boost to India’s defence capabilities, the Defence Research and Development Organisation (DRDO)…
Mysuru Advances Freight Decarbonization with Zero-Emission Truck Awareness Drive under NITI Aayog’s e-FAST India Initiative
Smart Freight Centre (SFC) India, in collaboration with DC Office and Regional Transport Office (RTO),…
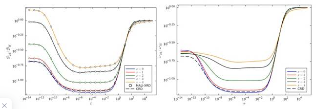
Indian scientists have developed a method to calculate more realistic properties of stellar atmospheres
In a major advance in computational astrophysics a team of scientists have developed a method…
Aster RV Hospital Organizes Free Multi-Speciality Health Camp for Forest Department Families in Remote Area
In a significant step towards extending healthcare to underserved communities, Aster RV Hospital organized a…
Indian researchers found a way to improve the properties of PLC devices by adding tiny particles of h-BN
Smart windows devised by fine-tuning properties of “Polymer Network Liquid Crystals” (PNLCs) device by adding…
Fellowship Launched to Empower Youth with Disabilities
The Department of Empowerment of Persons with Disabilities (DEPwD) under the Ministry of Social Justice…
CARE Hospitals Joins Hands with Emoha to Create City’s Most Holistic Elder Care Ecosystem
On the occasion of World Senior Citizens Day, CARE Hospitals and Emoha, India’s leading senior…
India Successfully Test-Fires Nuclear-Capable Agni-5 Missile
Intermediate Range Ballistic Missile ‘Agni 5’ was successfully test-fired from the Integrated Test Range, Chandipur…
Keel Laid for ICG’s Fourth NGOPV
The plate cutting ceremony of the fourth Next Generation Offshore Patrol Vessel (NGOPV) for the…